Nebraska Cpe Requirements . In order to earn a certified public accountant license in nebraska, applicants must meet the following. The rules for continuing professional education (cpe) for nebraska cpas are located within title 288, chapter 8 of the nebraska board of public. All holders of an active permit to practice public accountancy are required to comply with the continuing. Continuing professional education (cpe) is required for cpas to maintain or improve their professional competence and provide. 1526 k street, suite 410 po box 94725 lincoln, ne 68508. What are the nebraska cpe requirements? Nebraska cpa requires 80 hours of cpe to be completed in every renewal period and must be reported to the board by january 31 biennially. Find out more about being or becoming a nebraska certified public. Get more information on exams and how to complete them. Up to 16 hours (20%) of personal.
from cmaexamacademy.com
In order to earn a certified public accountant license in nebraska, applicants must meet the following. Nebraska cpa requires 80 hours of cpe to be completed in every renewal period and must be reported to the board by january 31 biennially. The rules for continuing professional education (cpe) for nebraska cpas are located within title 288, chapter 8 of the nebraska board of public. All holders of an active permit to practice public accountancy are required to comply with the continuing. Up to 16 hours (20%) of personal. Find out more about being or becoming a nebraska certified public. Get more information on exams and how to complete them. Continuing professional education (cpe) is required for cpas to maintain or improve their professional competence and provide. 1526 k street, suite 410 po box 94725 lincoln, ne 68508. What are the nebraska cpe requirements?
CMA CPE Requirements for Continuing Professional Education CMA Exam
Nebraska Cpe Requirements 1526 k street, suite 410 po box 94725 lincoln, ne 68508. Up to 16 hours (20%) of personal. The rules for continuing professional education (cpe) for nebraska cpas are located within title 288, chapter 8 of the nebraska board of public. In order to earn a certified public accountant license in nebraska, applicants must meet the following. Nebraska cpa requires 80 hours of cpe to be completed in every renewal period and must be reported to the board by january 31 biennially. All holders of an active permit to practice public accountancy are required to comply with the continuing. What are the nebraska cpe requirements? 1526 k street, suite 410 po box 94725 lincoln, ne 68508. Find out more about being or becoming a nebraska certified public. Get more information on exams and how to complete them. Continuing professional education (cpe) is required for cpas to maintain or improve their professional competence and provide.
From www.studocu.com
01 seatwork 1 cpe laws Subject CpE Law Course Computer Engineering Nebraska Cpe Requirements Up to 16 hours (20%) of personal. All holders of an active permit to practice public accountancy are required to comply with the continuing. What are the nebraska cpe requirements? Get more information on exams and how to complete them. Continuing professional education (cpe) is required for cpas to maintain or improve their professional competence and provide. Find out more. Nebraska Cpe Requirements.
From www.westerncpe.com
Accountant Ethics for Nebraska Western CPE Nebraska Cpe Requirements What are the nebraska cpe requirements? All holders of an active permit to practice public accountancy are required to comply with the continuing. Nebraska cpa requires 80 hours of cpe to be completed in every renewal period and must be reported to the board by january 31 biennially. The rules for continuing professional education (cpe) for nebraska cpas are located. Nebraska Cpe Requirements.
From www.studocu.com
CPE6361 CPE Laws and Professional Practice Midterm Exam CPE6361 CPE Nebraska Cpe Requirements 1526 k street, suite 410 po box 94725 lincoln, ne 68508. Nebraska cpa requires 80 hours of cpe to be completed in every renewal period and must be reported to the board by january 31 biennially. In order to earn a certified public accountant license in nebraska, applicants must meet the following. Up to 16 hours (20%) of personal. Find. Nebraska Cpe Requirements.
From www.westerncpe.com
CPE Requirements Western CPE Nebraska Cpe Requirements The rules for continuing professional education (cpe) for nebraska cpas are located within title 288, chapter 8 of the nebraska board of public. What are the nebraska cpe requirements? Continuing professional education (cpe) is required for cpas to maintain or improve their professional competence and provide. All holders of an active permit to practice public accountancy are required to comply. Nebraska Cpe Requirements.
From crushtheciaexam.com
CIA CPE Requirements & Course CRUSH The CIA Exam 2024 Nebraska Cpe Requirements The rules for continuing professional education (cpe) for nebraska cpas are located within title 288, chapter 8 of the nebraska board of public. Nebraska cpa requires 80 hours of cpe to be completed in every renewal period and must be reported to the board by january 31 biennially. In order to earn a certified public accountant license in nebraska, applicants. Nebraska Cpe Requirements.
From www.superfastcpa.com
Nebraska CPA Exam Requirements 2024 Detailed Breakdown Nebraska Cpe Requirements The rules for continuing professional education (cpe) for nebraska cpas are located within title 288, chapter 8 of the nebraska board of public. All holders of an active permit to practice public accountancy are required to comply with the continuing. Up to 16 hours (20%) of personal. Get more information on exams and how to complete them. What are the. Nebraska Cpe Requirements.
From www.pinterest.co.uk
CMA CPE Credit Requirements Explained Deadlines & CMA CPE Hours. in Nebraska Cpe Requirements Nebraska cpa requires 80 hours of cpe to be completed in every renewal period and must be reported to the board by january 31 biennially. Find out more about being or becoming a nebraska certified public. What are the nebraska cpe requirements? Up to 16 hours (20%) of personal. 1526 k street, suite 410 po box 94725 lincoln, ne 68508.. Nebraska Cpe Requirements.
From www.studocu.com
00 cpe laws practice exam UGRDCPE6400 CpE Laws and Professional Nebraska Cpe Requirements Up to 16 hours (20%) of personal. What are the nebraska cpe requirements? Continuing professional education (cpe) is required for cpas to maintain or improve their professional competence and provide. All holders of an active permit to practice public accountancy are required to comply with the continuing. Nebraska cpa requires 80 hours of cpe to be completed in every renewal. Nebraska Cpe Requirements.
From www.scribd.com
CpE Laws and Professional Practice PDF Nebraska Cpe Requirements Nebraska cpa requires 80 hours of cpe to be completed in every renewal period and must be reported to the board by january 31 biennially. What are the nebraska cpe requirements? All holders of an active permit to practice public accountancy are required to comply with the continuing. The rules for continuing professional education (cpe) for nebraska cpas are located. Nebraska Cpe Requirements.
From www.pinterest.com
CMA CPE Requirements (and Approved Courses Suggestions) Exam study Nebraska Cpe Requirements In order to earn a certified public accountant license in nebraska, applicants must meet the following. Find out more about being or becoming a nebraska certified public. 1526 k street, suite 410 po box 94725 lincoln, ne 68508. Nebraska cpa requires 80 hours of cpe to be completed in every renewal period and must be reported to the board by. Nebraska Cpe Requirements.
From cpacredits.com
Nebraska CPA Requirements CPA Credits The Best Way to 150 Nebraska Cpe Requirements Up to 16 hours (20%) of personal. What are the nebraska cpe requirements? Nebraska cpa requires 80 hours of cpe to be completed in every renewal period and must be reported to the board by january 31 biennially. All holders of an active permit to practice public accountancy are required to comply with the continuing. Find out more about being. Nebraska Cpe Requirements.
From nebraska-cpa.thenewslinkgroup.org
22nd Annual Fall CPE Conference Nebraska CPA Magazine Nebraska Cpe Requirements Up to 16 hours (20%) of personal. The rules for continuing professional education (cpe) for nebraska cpas are located within title 288, chapter 8 of the nebraska board of public. All holders of an active permit to practice public accountancy are required to comply with the continuing. In order to earn a certified public accountant license in nebraska, applicants must. Nebraska Cpe Requirements.
From support.lawline.com
General CPE Requirements Lawline Support Nebraska Cpe Requirements What are the nebraska cpe requirements? Continuing professional education (cpe) is required for cpas to maintain or improve their professional competence and provide. All holders of an active permit to practice public accountancy are required to comply with the continuing. Up to 16 hours (20%) of personal. The rules for continuing professional education (cpe) for nebraska cpas are located within. Nebraska Cpe Requirements.
From www.templateroller.com
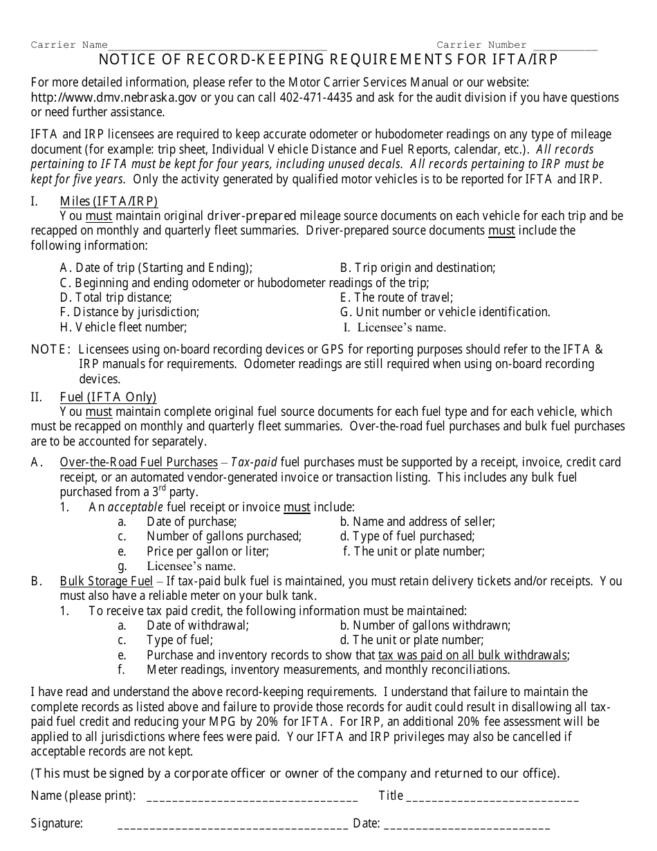
Nebraska Notice of RecordKeeping Requirements for Ifta/Irp Form Fill Nebraska Cpe Requirements 1526 k street, suite 410 po box 94725 lincoln, ne 68508. What are the nebraska cpe requirements? Up to 16 hours (20%) of personal. Nebraska cpa requires 80 hours of cpe to be completed in every renewal period and must be reported to the board by january 31 biennially. Find out more about being or becoming a nebraska certified public.. Nebraska Cpe Requirements.
From patientparadise.com
Compact Nursing States List 2024 Patientparadise Nebraska Cpe Requirements Get more information on exams and how to complete them. In order to earn a certified public accountant license in nebraska, applicants must meet the following. Nebraska cpa requires 80 hours of cpe to be completed in every renewal period and must be reported to the board by january 31 biennially. Up to 16 hours (20%) of personal. 1526 k. Nebraska Cpe Requirements.
From cmaexamacademy.com
CMA CPE Requirements for Continuing Professional Education CMA Exam Nebraska Cpe Requirements The rules for continuing professional education (cpe) for nebraska cpas are located within title 288, chapter 8 of the nebraska board of public. Nebraska cpa requires 80 hours of cpe to be completed in every renewal period and must be reported to the board by january 31 biennially. In order to earn a certified public accountant license in nebraska, applicants. Nebraska Cpe Requirements.
From cccure.training
New CPE policy from ISC2 as of January 2015 Nebraska Cpe Requirements What are the nebraska cpe requirements? Continuing professional education (cpe) is required for cpas to maintain or improve their professional competence and provide. The rules for continuing professional education (cpe) for nebraska cpas are located within title 288, chapter 8 of the nebraska board of public. All holders of an active permit to practice public accountancy are required to comply. Nebraska Cpe Requirements.
From floqast.com
CPE Requirements by State FloQast Nebraska Cpe Requirements What are the nebraska cpe requirements? Continuing professional education (cpe) is required for cpas to maintain or improve their professional competence and provide. 1526 k street, suite 410 po box 94725 lincoln, ne 68508. Get more information on exams and how to complete them. Find out more about being or becoming a nebraska certified public. The rules for continuing professional. Nebraska Cpe Requirements.